Índice
- O que são Forrageiras e Por Que Usá-las?
- Os Benefícios Diretos da Cobertura do Solo com Palhada
- Como e Quando Usar Forrageiras na Prática
- Como Funciona a Semeadura em Consórcio?
- Principais Espécies de Forrageiras
- Conclusão
- Glossário
- Como o Aegro ajuda a otimizar o uso de forrageiras
- Perguntas Frequentes
- A forrageira plantada em consórcio não vai competir com o milho por água e nutrientes, reduzindo minha produtividade?
- Qual é o melhor momento para semear a forrageira visando a produção de palha para o plantio direto?
- Por que a palha parece ‘derreter’ tão rápido em climas tropicais e como as forrageiras ajudam a resolver isso?
- Qual a principal diferença entre usar braquiária e aveia como cultura de cobertura?
- Quanto de palha é considerado ideal para proteger o solo eficientemente?
- Usar forrageiras é economicamente viável ou representa apenas um custo extra na produção?
- O que significa o termo ‘sobressemeadura’ mencionado no artigo?
- Artigos Relevantes
O uso de forrageiras está crescendo em todo o país. Cada vez mais produtores estão percebendo os enormes benefícios que essas plantas trazem para todo o sistema de produção.
Além de protegerem o solo da erosão e fornecerem a palha essencial para o plantio direto, as forrageiras também ajudam a aumentar a produtividade da lavoura principal. E, como resultado, isso melhora a rentabilidade da sua fazenda.
Neste artigo, vamos detalhar como funciona a cobertura do solo com forrageiras, explicando as melhores formas e momentos para utilizá-las. Continue a leitura e confira!
O que são Forrageiras e Por Que Usá-las?
Forrageiras são plantas cultivadas com objetivos específicos, como proteger o solo, fornecer palha para o sistema de plantio direto e servir de alimento para animais. Elas podem ser tanto gramíneas (como as braquiárias) quanto leguminosas (como o feijão guandu).
Quando usadas para alimentação animal, podem ser manejadas para pastagem direta ou colhidas para produção de feno e silagem.
Para entender o verdadeiro impacto dessas culturas de cobertura no nosso sistema produtivo, primeiro precisamos analisar o cenário onde trabalhamos: o clima brasileiro.
O Desafio da Agricultura nos Climas do Brasil
A agricultura no nosso país se desenvolve, basicamente, em dois tipos de clima: tropical e subtropical.
- Clima Subtropical: Presente na região Sul e em parte de São Paulo, caracteriza-se por verões quentes e invernos mais frios. As chuvas são mais bem distribuídas ao longo do ano, o que resulta em períodos de seca menos intensos.
- Clima Tropical: Abrange a maior parte do Brasil, incluindo todo o Centro-Oeste, Norte, Nordeste e grande parte do Sudeste. Sua principal característica são verões quentes e muito chuvosos e invernos secos, com pouca variação de temperatura.
O clima tropical apresenta dois grandes desafios para o uso agrícola do solo:
- Falta de água durante o inverno, o que inviabiliza muitas lavouras de sequeiro nesse período.
- Chuvas torrenciais e concentradas em uma única época do ano.
O primeiro desafio já contornamos, em parte, com o sucesso da segunda safra (safrinha).
O segundo ponto, no entanto, é mais complexo. As chuvas fortes têm um alto poder de causar erosão, que é o desgaste e o carregamento do solo pela água. A única maneira eficiente de proteger o solo contra a erosão é mantê-lo sempre coberto.
O Problema da Palha que “Derrete”
Aqui enfrentamos um terceiro desafio: manter o solo coberto em clima tropical é extremamente difícil.
Quem trabalha nas fronteiras agrícolas, seja no Cerrado ou na Amazônia, sabe bem como a palha parece “derreter” rapidamente sobre o solo.
Isso acontece porque, no início da estação das águas, a combinação de alta umidade e temperaturas elevadas cria o ambiente perfeito para os microrganismos do solo. Eles se multiplicam e, literalmente, “devoram” a palha em uma velocidade impressionante.

Em pouco tempo, o solo fica descoberto bem na época em que está sendo preparado para a nova safra, uma combinação que aumenta muito o risco de perdas.
Os Benefícios Diretos da Cobertura do Solo com Palhada
Uma planta precisa de três elementos básicos para se desenvolver: luz, água e nutrientes. A água e os nutrientes são retirados do solo, o que já mostra a importância de cuidar bem da nossa terra.
1. Economia de Água na Lavoura
A água presente no solo é perdida de duas formas: pela transpiração da planta (processo produtivo) e pela evaporação direta do solo para a atmosfera. A palha das forrageiras atua como uma barreira, diminuindo a água perdida por evaporação.
Em outras palavras, a cobertura garante que mais água fique disponível para a planta, em vez de ser perdida para o ambiente sem gerar nenhum benefício.
2. Proteção Contra Erosão e Perda de Nutrientes
Manter o solo coberto também diminui o impacto direto das gotas de chuva. Sem a palha, a força da chuva desagrega as partículas do solo, que são facilmente levadas pela enxurrada.
Essas partículas superficiais são as mais valiosas, pois contêm a maior parte da matéria orgânica e dos nutrientes. Quando a erosão leva essa camada embora, estamos perdendo o adubo que aplicamos. É, literalmente, jogar dinheiro fora.
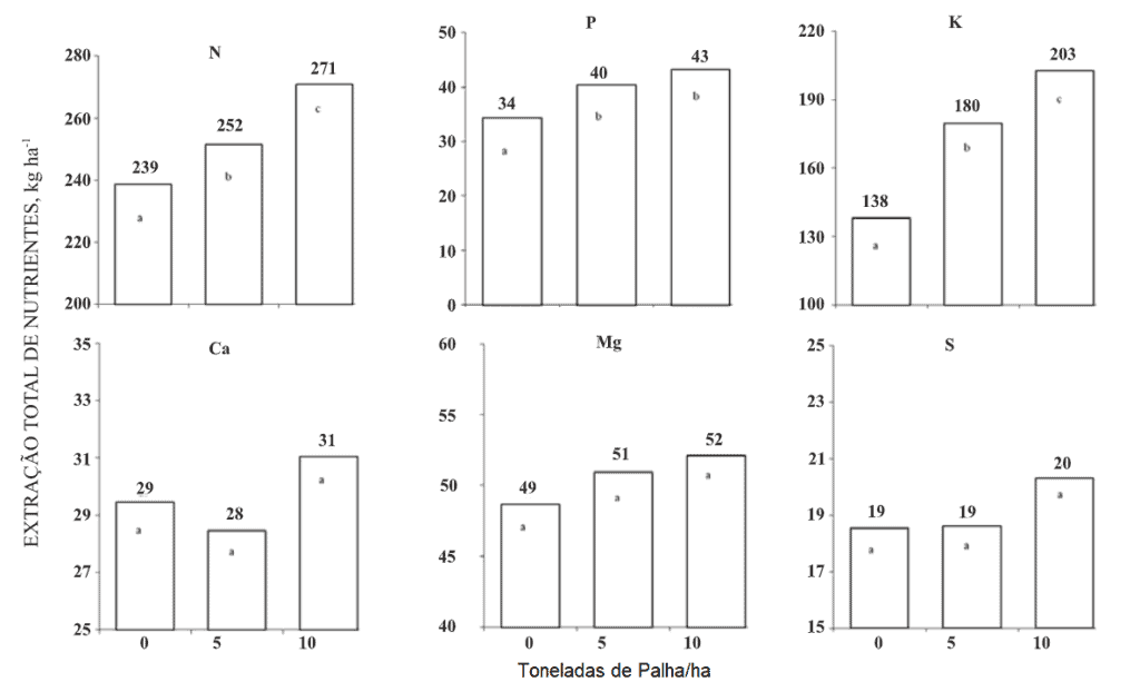
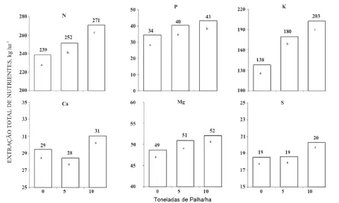
O gráfico abaixo, de um estudo da Embrapa, mostra isso na prática:
Note que, quanto maior a quantidade de palha sobre o solo, maior a quantidade de nutrientes que a planta consegue absorver. Isso garante que o adubo aplicado seja melhor aproveitado pela cultura, em vez de ser perdido com as chuvas.
3. Melhoria na Estrutura do Solo e Desenvolvimento das Raízes
A cobertura de palha também melhora as características físicas do solo. Ela cria um ambiente mais favorável ao desenvolvimento das raízes e ajuda a prevenir a compactação.
Veja na figura abaixo como a presença de palha no solo aumentou o comprimento das raízes das plantas de aveia. Raízes mais profundas e bem desenvolvidas significam melhor captação de água e extração de nutrientes.
Como e Quando Usar Forrageiras na Prática
Para que o uso de forrageiras e culturas de cobertura seja economicamente viável, existem duas estratégias principais:
- Semeando as forrageiras na segunda safra (em clima tropical) ou na safra de inverno (em clima subtropical). Desta forma, você garante a colheita da cultura de maior renda no verão e, ao mesmo tempo, produz a palha que protegerá o solo para o início do próximo ciclo.
- Através do consórcio com culturas comerciais, como milho, sorgo, arroz e até mesmo a soja.
Consórcio: significa plantar duas ou mais culturas juntas na mesma área, permitindo que elas convivam durante parte de seus ciclos.
No caso da soja, o consórcio geralmente é feito por sobressemeadura. A forrageira é semeada de forma aérea ou terrestre no final do ciclo do grão, entre os estádios R5 e R6. Isso permite que a forrageira germine antes da colheita da soja, aproveitando as últimas chuvas e o calor para se estabelecer.
Para quem planta uma segunda safra de milho ou sorgo, as forrageiras podem ser semeadas em consórcio com essas culturas, uma prática cada vez mais comum e eficiente.
Como Funciona a Semeadura em Consórcio?
Normalmente, a semeadura das forrageiras em consórcio com milho ou sorgo é feita de duas maneiras:
- Em linha: Usando a caixa de adubo da plantadeira para depositar as sementes da forrageira em uma profundidade maior.
- A lanço: Distribuindo as sementes na superfície do solo, seja no momento do plantio da cultura principal ou durante a adubação de cobertura.
Muitos produtores se preocupam com a competição entre a forrageira e a cultura principal. No entanto, estudos mostram que o impacto na produtividade é mínimo.
Como podemos ver na tabela acima, a diferença na produtividade de milho solteiro ou em consórcio é muito pequena e, em muitos casos, inexistente. Isso torna o consórcio economicamente viável, pois os custos para implantar a forrageira são muito reduzidos.
Principais Espécies de Forrageiras
Existe uma grande diversidade de espécies forrageiras, e a escolha certa dependerá do sistema de produção da sua fazenda.
Braquiárias
As braquiárias são as forrageiras mais utilizadas no Brasil, principalmente pela excelente adaptação ao clima tropical e aos solos do Cerrado.
- Espécies em destaque: B. ruziziensis, B. brizantha, B. humidicola e B. decumbens.
Temos um artigo completo sobre o tema: “Principais espécies de brachiaria e como fazer seu manejo.”
Aveia
Existem diversas cultivares de aveia forrageira, com diferentes ciclos. É uma excelente opção para o Sul e Sudeste, pois possui boa tolerância ao frio e a geadas, além de alta produção de massa verde e rusticidade. É ideal para produzir palha para o Sistema de Plantio Direto (SPD).
Feijão Guandu
O feijão guandu é uma leguminosa cada vez mais utilizada como forragem para animais no período seco (picada, pastejada ou na forma de silagem e feno). Ele pode ser consorciado com milho e com outras forrageiras, como a braquiária. A Embrapa, inclusive, desenvolveu o Sistema Santa Brígida, que consorcia milho, guandu e braquiária.
Conclusão
As forrageiras são aliadas fundamentais para a agricultura tropical moderna. Elas viabilizam a implantação de um sistema de plantio direto eficiente, que realmente cumpre seu papel de proteger e melhorar o solo.
Neste artigo, vimos os principais benefícios dessas plantas, as espécies mais comuns e as melhores estratégias de semeadura.
O passo mais importante é escolher a espécie que melhor se adapta ao seu sistema de produção e começar a proteger o solo. Afinal, ele é a base do sucesso do agronegócio brasileiro

Glossário
Consórcio: Prática de cultivar duas ou mais espécies de plantas juntas, na mesma área e ao mesmo tempo. No artigo, refere-se ao plantio de milho ou sorgo junto com uma forrageira, como a braquiária, para otimizar o uso da terra e já formar a palhada para o ciclo seguinte.
Culturas de Cobertura: Plantas cultivadas com o objetivo principal de proteger e melhorar o solo, em vez de gerar uma colheita comercial. Elas ajudam a prevenir a erosão, suprimir ervas daninhas e aumentar a matéria orgânica do solo.
Erosão: Desgaste e transporte da camada superficial do solo pela ação da água da chuva ou do vento. Esse processo leva embora os nutrientes e a matéria orgânica, empobrecendo a terra e diminuindo a produtividade da lavoura.
Forrageiras: Plantas, como gramíneas (braquiárias) e leguminosas (feijão guandu), cultivadas para alimentação animal ou para produção de palha. São essenciais para a proteção do solo no sistema de plantio direto.
Palhada: Camada de material vegetal seco (restos de cultura, como palha e folhas) que é deixada sobre a superfície do solo. Atua como um “cobertor” que protege o solo da erosão, reduz a perda de água por evaporação e melhora a sua estrutura.
Plantio Direto: Sistema de cultivo em que a semeadura é feita diretamente sobre a palha da cultura anterior, sem o revolvimento do solo (aração e gradagem). A presença de palhada é fundamental para o sucesso dessa técnica.
Sobressemeadura: Técnica que consiste em semear uma nova cultura (geralmente a forrageira) sobre a lavoura principal que está no final de seu ciclo. Por exemplo, distribuir sementes de braquiária de avião sobre a soja antes da colheita.
SPD (Sistema de Plantio Direto): Sigla para Sistema de Plantio Direto. Refere-se ao conjunto de práticas que envolvem o não revolvimento do solo, a manutenção permanente da cobertura do solo com palhada e a rotação de culturas.
Como o Aegro ajuda a otimizar o uso de forrageiras
Implementar o uso de forrageiras é uma excelente estratégia, mas o grande desafio é garantir que ela seja economicamente viável e bem executada. Controlar os custos da semeadura, manejar as operações de consórcio e, principalmente, medir o retorno real na produtividade da safra seguinte pode ser complexo sem as ferramentas certas. Um software de gestão agrícola como o Aegro simplifica esse processo, permitindo registrar todos os custos associados à cultura de cobertura e analisar seu impacto financeiro. Além disso, o planejamento de atividades ajuda a organizar a semeadura em consórcio ou sobressemeadura, garantindo que tudo aconteça no momento ideal, sem comprometer a lavoura principal.
Quer transformar boas práticas agronômicas em lucro real?

Experimente o Aegro gratuitamente e veja como uma gestão integrada pode aumentar a rentabilidade da sua fazenda.
Perguntas Frequentes
A forrageira plantada em consórcio não vai competir com o milho por água e nutrientes, reduzindo minha produtividade?
Embora exista uma leve competição, estudos demonstram que o impacto na produtividade do milho é mínimo ou inexistente. Isso ocorre porque as culturas têm picos de demanda por recursos em momentos diferentes e sistemas radiculares que exploram distintas profundidades do solo. Os benefícios da palhada para a safra seguinte geralmente compensam qualquer pequena variação.
Qual é o melhor momento para semear a forrageira visando a produção de palha para o plantio direto?
Existem duas estratégias principais. Em climas tropicais, a semeadura pode ser feita na segunda safra (safrinha), muitas vezes em consórcio com milho ou sorgo. Outra técnica eficaz é a sobressemeadura, semeando a forrageira via aérea ou terrestre no final do ciclo da cultura principal, como a soja (estádios R5-R6), para que ela se estabeleça antes da colheita.
Por que a palha parece ‘derreter’ tão rápido em climas tropicais e como as forrageiras ajudam a resolver isso?
Em climas tropicais, a combinação de alta umidade e temperaturas elevadas acelera a atividade dos microrganismos do solo, que decompõem a matéria orgânica rapidamente. As forrageiras, especialmente as braquiárias, ajudam por produzirem um grande volume de biomassa com uma relação carbono/nitrogênio mais alta, o que torna sua palha mais resistente e duradoura na superfície do solo.
Qual a principal diferença entre usar braquiária e aveia como cultura de cobertura?
A principal diferença está na adaptação climática. As braquiárias são extremamente adaptadas a climas tropicais, com alta tolerância ao calor e ao déficit hídrico. Já a aveia é uma cultura de clima subtropical e temperado, sendo uma excelente opção para a safra de inverno no Sul do Brasil, pois tolera bem o frio e produz palha de qualidade.
Quanto de palha é considerado ideal para proteger o solo eficientemente?
A quantidade ideal varia, mas como regra geral, busca-se uma cobertura de 8 a 12 toneladas de matéria seca por hectare. Essa quantidade é suficiente para controlar a erosão, reduzir a evaporação da água, suprimir o crescimento de plantas daninhas e fornecer um bom aporte de matéria orgânica ao solo.
Usar forrageiras é economicamente viável ou representa apenas um custo extra na produção?
Embora exija um investimento inicial, o uso de forrageiras é altamente viável economicamente a médio e longo prazo. Os custos de implantação, especialmente em consórcio, são baixos e os benefícios incluem economia de água, melhor aproveitamento de fertilizantes (reduzindo perdas por erosão) e aumento da produtividade da lavoura principal, o que gera um retorno financeiro positivo.
O que significa o termo ‘sobressemeadura’ mencionado no artigo?
Sobressemeadura é a técnica de semear uma nova cultura (a forrageira) sobre uma lavoura já estabelecida e que está se aproximando do final do seu ciclo. No exemplo da soja, as sementes da forrageira são distribuídas sobre a lavoura antes da colheita, permitindo que a nova planta germine e comece a crescer aproveitando a umidade residual e a luz que começa a entrar.
Artigos Relevantes
- Como fazer a implantação e manejo do consórcio milho-braquiária: Este artigo é a continuação prática ideal para o guia principal. Enquanto o artigo base apresenta o consórcio como uma estratégia, este candidato detalha o ‘como fazer’ de forma aprofundada, abordando desde o cálculo da taxa de semeadura até o manejo crucial de herbicidas e a dessecação, que são dúvidas técnicas essenciais não respondidas no texto principal.
- Tudo o que você precisa saber sobre Plantio Direto: O artigo principal pressupõe que o leitor compreende o Sistema de Plantio Direto (SPD), mencionando-o repetidamente como o contexto para o uso de forrageiras. Este artigo fornece essa base conceitual indispensável, explicando os três pilares do SPD e o porquê da formação de palhada ser tão fundamental, solidificando o conhecimento do leitor.
- Brachiaria ruziziensis: como essa espécie pode te ajudar na agricultura: O artigo principal cita as braquiárias como as forrageiras mais importantes e menciona especificamente a B. ruziziensis. Este artigo oferece um mergulho profundo nesta espécie-chave, detalhando suas exigências agronômicas, seu manejo em consórcio com milho (incluindo doses de herbicidas) e seu uso na pecuária, transformando uma recomendação geral em conhecimento aplicável.
- Tudo sobre a plantação de aveia: tipos, manejo, colheita e forragem: Para complementar as opções de forrageiras, este artigo foca na aveia, a principal alternativa para climas subtropicais mencionada no texto base. Ele detalha os tipos, a época de plantio por região e as finalidades (grãos, forragem, cobertura), oferecendo um guia completo para produtores do Sul do Brasil que buscam implementar as práticas do artigo principal.
- Como evitar o embuchamento em plantio direto de soja: Este artigo aborda uma consequência prática e um desafio direto de se seguir as recomendações do texto principal: o excesso de palha. Ele antecipa o problema do ’embuchamento’ das semeadoras, oferecendo soluções práticas de regulagem de maquinário e manejo. Isso agrega um valor imenso ao fornecer a solução para um problema que o leitor inevitavelmente enfrentará.

